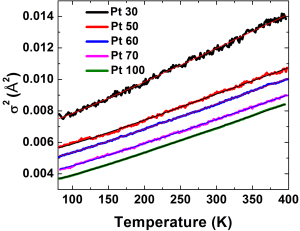
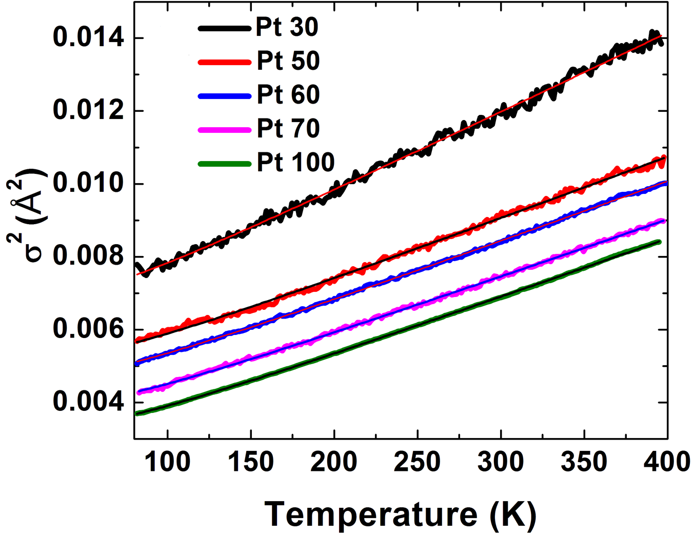
PDF is tool of choice for studying bond stiffness of nanoparticles. Typically, temperature dependent PDF data were measured and fitted by structural models. In this way, the thermal vibrational amplitudes of each atomic species were obtained. Next, one can further fit these temperature varied thermal factors with Debye/Einstein models. The resulting Debye/Einstein temperatures are indicators of bonding strength.
